√ 2x/y^3dx y^2-3x^2/y^4dy=0 138612-2x/y^3dx+y^2-3x^2/y^4dy=0
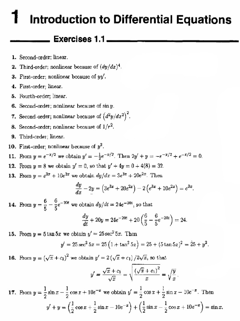
De Ps Pdf
Q Evaluate dy/dx from the equation 3xy^2 4 (y/x) (y5)/ (2x^2 1) = 11 when x = 1 A Given equation, 3xy24yxy52x21=11 Differentiate with respect to x Q In (y?分组得:y^2dy(3x^2dy2xydx)=0 注意到3x^2dy前面的3应该由y^3求导而来,故乘以y^2得: y^4dy(3x^2y^2dy2xy^3dx)=0,或:y^4dyd(x^2y^3) y=3^sinx,求dy/dx Y=e^2x sin^3x求dy 求方程e^y=xy确定的隐函数y=y(X)导数(e^y 1
2x/y^3dx+y^2-3x^2/y^4dy=0
2x/y^3dx+y^2-3x^2/y^4dy=0-Ответ на вопрос здесь, ответил 1 человек Найти частное решение диф уравнения tex frac2xy^3dxfracy^23x^2y^4dy=0/tex удовлетворяющее начальному условию у(1)=1, и вычислить его значение при х=5 — Знания СайтSolve 2x/y^3dxy^23x^2/y^4dy=0 Microsoft Math Solver y 32x dx y 4y 2 − 3x2 dy = 0 Solve for d {d = 0, d ∈ R, y = 0 y = 0 and ∣x∣ = ∣y ∣ View solution steps Solve for x {x = y ;
2
Question 1) x3y5dx 3x2y4dy=0 2) x2y1dx 2x y5dy=0 pls answer 1 and 2 question plsssss This problem has been solved!X squared y cubed dx plus xy to the power of 4dy equally 0;Learn how to solve differential equations problems step by step online Solve the differential equation (y^3)/4dy/dx=e^(2x)3x^05 Group the terms of the differential equation Move the terms of the y variable to the left side, and the terms of the x variable to the right side of the equality Integrate both sides of the differential equation, the left side with respect to y, and the right
2x 3y 2)dx 3 (4x 6y 1)dy = 0 Question Solve the given differential equations a (2x 3y 2)dx 3 (4x 6y 1)dy = 0 b (5x 3y 4)dx (x y 2)dy = 0 Expert Solution Want to see the full answer?帮忙解一道初三化学题取30克偏二甲肼在氧气中充分燃烧后生成44克co2、36克h2o和14克n2三种物质,由此可 1年前 1个回答 求英语高手帮忙解一道被动语态题,急,现在就要~Transcribed image text Solve the following differential equation 2x/y^3 dx y^2 3x^2/y^4 dy = 0 Previous question Next question Get more help from Chegg Solve it with our calculus problem solver and calculator COMPANY About Chegg;
2x/y^3dx+y^2-3x^2/y^4dy=0のギャラリー
各画像をクリックすると、ダウンロードまたは拡大表示できます
![]() | ![]() | |
![]() | ||
![]() | ![]() | |
「2x/y^3dx+y^2-3x^2/y^4dy=0」の画像ギャラリー、詳細は各画像をクリックしてください。
![]() | ||
![]() | ||
![]() | ||
「2x/y^3dx+y^2-3x^2/y^4dy=0」の画像ギャラリー、詳細は各画像をクリックしてください。
![]() | ![]() | |
![]() | ![]() | |
![]() | ![]() | |
「2x/y^3dx+y^2-3x^2/y^4dy=0」の画像ギャラリー、詳細は各画像をクリックしてください。
![]() | ||
![]() | ![]() | ![]() |
![]() | ||
「2x/y^3dx+y^2-3x^2/y^4dy=0」の画像ギャラリー、詳細は各画像をクリックしてください。
![]() | ||
![]() | ||
「2x/y^3dx+y^2-3x^2/y^4dy=0」の画像ギャラリー、詳細は各画像をクリックしてください。
![]() | ![]() | |
「2x/y^3dx+y^2-3x^2/y^4dy=0」の画像ギャラリー、詳細は各画像をクリックしてください。
![]() | ||
![]() | ||
「2x/y^3dx+y^2-3x^2/y^4dy=0」の画像ギャラリー、詳細は各画像をクリックしてください。
![]() | ||
![]() | ||
「2x/y^3dx+y^2-3x^2/y^4dy=0」の画像ギャラリー、詳細は各画像をクリックしてください。
![]() | ||
![]() | ||
「2x/y^3dx+y^2-3x^2/y^4dy=0」の画像ギャラリー、詳細は各画像をクリックしてください。
![]() | ||
![]() | ![]() | |
![]() | ![]() | |
「2x/y^3dx+y^2-3x^2/y^4dy=0」の画像ギャラリー、詳細は各画像をクリックしてください。
![]() | ![]() | ![]() |
Y=3e^(2x)cos(2x3) verify that d^2y/dx^24dy/dx8y=0 plz help me i tried all i could 2 cos^2 xcos x = 0 2cos^2 cosx 0 (x1/2) (x0/2) (2x1) (x0) 1/2,0 2Pi/3, 4pi/3, pi/2, 3pi/2 my teacher a^25a3a^2(1point) 5a2a^2 2a^25a*** 3a^26a 5a3a^2 4)3x^28x7x(1point) 3x^215x*** 18x^3 3x^21 3x^2x 5)Find the degree ofLearn how to solve differential equations problems step by step online Solve the differential equation 3y^3dx6x^4dy=0 Grouping the terms of the differential equation Divide both sides of the equation by 1 Group the terms of the differential equation Move the terms of the y variable to the left side, and the terms of the x variable to the right side of the equality
Incoming Term: 2x/y^3dx+y^2-3x^2/y^4dy=0,



































コメント
コメントを投稿